RESULTS 2016
UNION COUNTY WEST END FAIR
GARDEN TRACTOR PULL
2016-08-03
| PDF |  | JPG | 
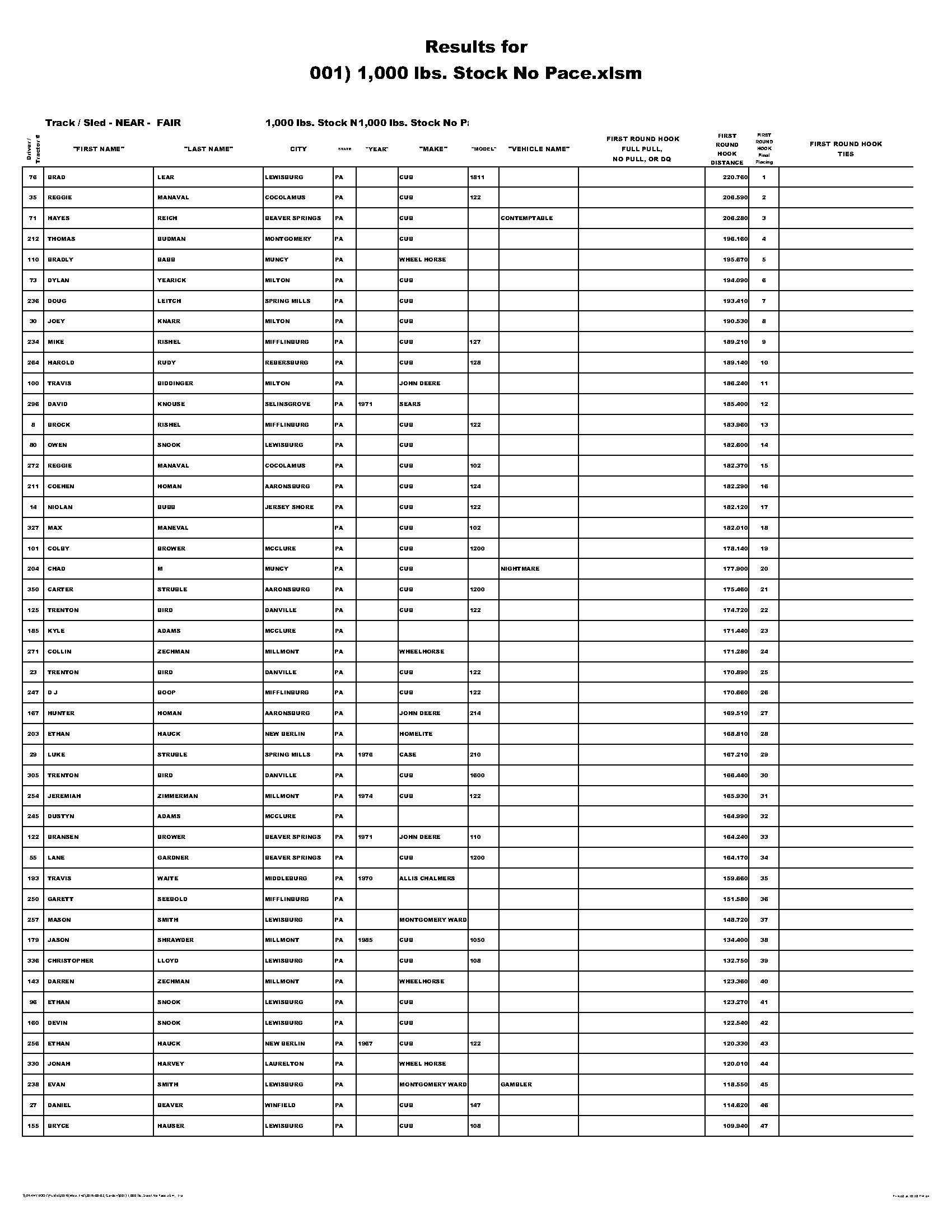
| 001) 1,000 lbs. Stock No Pace.pdf |  | 001) 1,000 lbs. Stock No Pace_Page_1.jpg 001) 1,000 lbs. Stock No Pace_Page_2.jpg | 
| 002) 1,050 lbs. Stock Altered.pdf |  | 002) 1,050 lbs. Stock Altered.jpg | 
| 003) 1,050 lbs. Twin Stock No Pace-90% Payback.pdf |  | 003) 1,050 lbs. Twin Stock No Pace-90% Payback.jpg | 
| 004) 1,050 lbs. Pro Stock.pdf |  | 004) 1,050 lbs. Pro Stock.jpg | 
| 005) 1,150 lbs. Diesel Garden.pdf |  | 005) 1,150 lbs. Diesel Garden.jpg | 
| 006) 1,050 lbs. Stock Altered.pdf |  | 006) 1,050 lbs. Stock Altered.jpg | 
| 007) 1,050 lbs. Twin Stock No Pace-90% Payback.pdf |  | 007) 1,050 lbs. Twin Stock No Pace-90% Payback.jpg | 
| 008) 1,050 lbs. Pro Stock.pdf |  | 008) 1,050 lbs. Pro Stock.jpg | 
| 009) 1,100 lbs. Stock No Pace.pdf |  | 009) 1,100 lbs. Stock No Pace.jpg |